Расчет и проектирование эффективного центробежного насоса — основные принципы и примеры практического применения
Содержание
- Основные принципы работы центробежного насоса
- Как работает центробежный насос
- Преимущества использования центробежного насоса
- Расчет параметров центробежного насоса
- Расчет рабочего давления центробежного насоса
- Расчет производительности центробежного насоса
- Выбор подходящего центробежного насоса
- Как выбрать центробежный насос
- Сравнение различных типов центробежных насосов
- Вопрос-ответ:
- Каков принцип работы центробежного насоса?
- Какие параметры необходимо учитывать при расчете центробежного насоса?
- Как рассчитывается пропускная способность центробежного насоса?
- Как подобрать насос с нужными характеристиками для конкретной задачи?
- Как работает центробежный насос?
- Как происходит расчет производительности центробежного насоса?
- Как выбрать центробежный насос для определенной задачи?
- Какие материалы обычно используются для изготовления центробежных насосов?
- Видео:
Центробежные насосы являются неотъемлемой частью системы водоснабжения и обеспечивают передачу жидкостей снизу вверх для различных целей. Они широко используются в промышленности, строительстве и бытовом секторе. Расчет центробежного насоса является важным этапом проектирования системы и позволяет определить основные параметры и характеристики насоса для эффективной работы системы.
Перед началом расчета необходимо определить важные факторы, такие как производительность, напор и эффективность насоса. Производительность представляет собой количество жидкости, перекачиваемой насосом за единицу времени, обычно выражается в литрах в секунду или кубических метрах в час. Напор — это разница в давлении, создаваемая насосом, и позволяет жидкости подниматься на определенную высоту. Эффективность насоса отражает его способность преобразовывать механическую энергию в энергию потока жидкости.
Для расчета центробежного насоса необходимо знать характеристики передаваемой жидкости, такие как плотность, вязкость и температуру. Также необходимо учитывать геометрические параметры насоса, включая диаметры входного и выходного патрубков, а также диаметр рабочего колеса.
Основные принципы работы центробежного насоса
Основные компоненты центробежного насоса включают в себя:
- Рабочее колесо: это вращающийся элемент насоса, который создает центробежную силу. Рабочее колесо обычно имеет лопатки или перья, которые направляют жидкость или газ вперед и создают разность давления.
- Корпус насоса: это оболочка, которая содержит рабочее колесо и организует поток жидкости или газа. Корпус насоса обычно имеет вход и выход для подачи и отвода рабочей среды.
Принцип работы центробежного насоса основан на том, что вращающееся рабочее колесо создает центробежную силу, направленную от центра к окружности. Эта сила приводит к перемещению жидкости или газа через систему насоса. Когда рабочее колесо вращается, оно создает разность давления между входом и выходом насоса. Жидкость или газ втягивается в насос через вход и движется вдоль лопастей рабочего колеса под действием центробежной силы. При выходе из насоса жидкость или газ преодолевают давление на выходе и выталкиваются из него.
Преимущества центробежных насосов:
- Высокая производительность: центробежные насосы обладают высокой скоростью работы и способны перекачивать большие объемы жидкости или газа.
- Широкий диапазон применения: центробежные насосы могут использоваться в различных отраслях, таких как промышленность, гидротехническое строительство, водоснабжение и др.
- Эффективность: центробежные насосы обладают высоким КПД и могут обеспечивать эффективную перекачку жидкости или газа.
Заключение
Центробежный насос — это эффективное устройство, которое основывается на силе центробежной силы для перекачки жидкости или газа. Он состоит из рабочего колеса и корпуса насоса, и его принцип работы заключается в создании разности давления, вызванной вращением рабочего колеса.
Как работает центробежный насос
Основные компоненты центробежного насоса включают:
1. Корпус
Корпус насоса предназначен для содержания жидкости или газа внутри насоса и создания направленного потока. Он обычно имеет входной и выходной отверстия, через которые происходит перекачка.
2. Ротор
Ротор является вращающейся частью насоса и имеет лопасти, которые создают центробежную силу. Когда ротор вращается, он захватывает жидкость или газ и переносит их от входного отверстия к выходному.
Процесс работы центробежного насоса происходит следующим образом:
- Жидкость или газ поступают в насос через входное отверстие.
- Ротор начинает вращаться, создавая центробежную силу.
- Центробежная сила захватывает жидкость или газ и переносит их к выходному отверстию.
- Перекачанная жидкость или газ выходят из насоса через выходное отверстие.
Центробежные насосы широко применяются в различных отраслях, включая промышленность, сельское хозяйство, электростанции и коммунальное хозяйство. Они обладают высокой производительностью, надежностью и эффективностью, делая их незаменимыми в процессах перекачки жидкостей и газов.
Преимущества использования центробежного насоса
1. Высокая эффективность
Одним из главных преимуществ центробежного насоса является его высокая эффективность. Благодаря конструкции и принципу работы, центробежные насосы обеспечивают высокий коэффициент полезного действия, что позволяет перекачивать большой объем жидкости с минимальными потерями энергии.
2. Широкий диапазон применения
Центробежные насосы могут использоваться в самых разных сферах – от сельского хозяйства и промышленности до бытовых и коммерческих систем. Они способны перекачивать как воду, так и многие другие жидкости, включая агрессивные, вязкие и высокотемпературные среды.
3. Надежность и долговечность
Центробежные насосы отличаются высокой надежностью и долговечностью. Их прочная конструкция и качественные материалы, используемые при изготовлении, обеспечивают стабильную и надежную работу на протяжении длительного времени без серьезных поломок и снижения производительности.
4. Простота обслуживания
Еще одним преимуществом центробежных насосов является их простота обслуживания. Они имеют небольшое количество подвижных частей, что упрощает процедуру обслуживания и замены деталей. Кроме того, детали насоса легко доступны, что позволяет быстро и удобно проводить ремонтные работы.
5. Низкий уровень шума и вибрации
Центробежные насосы работают практически бесшумно и без заметных вибраций, что делает их привлекательными для применения в бытовых и коммерческих помещениях. Низкий уровень шума также способствует созданию комфортных условий работы и удобства для пользователей.
Таким образом, использование центробежного насоса обладает большим количеством преимуществ, которые делают его незаменимым инструментом в системах перекачки жидкостей различного типа. Высокая эффективность, широкий диапазон применения, надежность и долговечность, простота обслуживания, а также низкий уровень шума и вибрации делают центробежные насосы одними из лучших решений для многих задач.
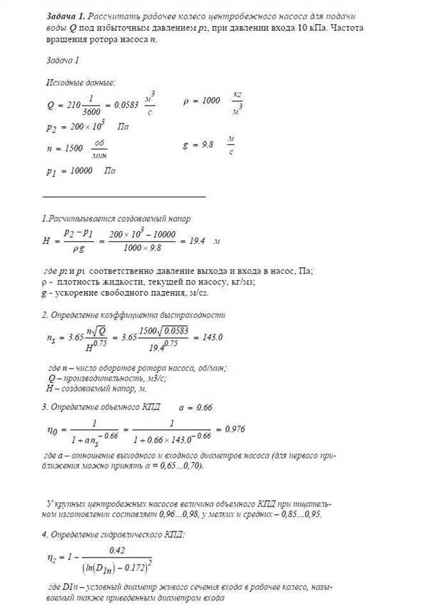
Расчет параметров центробежного насоса
Расчет производительности
Для расчета производительности насоса необходимо знать несколько основных параметров. В первую очередь, это давление на входе и выходе насоса, а также разность давлений между ними. Другой важный параметр – это дебит жидкости, то есть объем, который насос способен перекачивать за единицу времени.
Формула расчета производительности для насоса выглядит следующим образом:
Q = (ρ * g * ΔH) / (η * ΔP)
где Q – производительность в кубических метрах в секунду, ρ – плотность жидкости в килограммах на кубический метр, g – ускорение свободного падения (около 9,8 м/с²), ΔH – разность уровней в метрах, η – КПД насоса, ΔP – разность давлений в паскалях.
Расчет мощности
Для расчета мощности насоса необходимо знать его производительность и давление.
Формула расчета мощности для насоса выглядит следующим образом:
N = (Q * ΔP) / (102 * η)
где N – мощность в ваттах, Q – производительность в кубических метрах в секунду, ΔP – разность давлений в паскалях, η – КПД насоса, 102 – коэффициент для перевода единиц измерения.
Правильный расчет параметров центробежного насоса позволяет выбрать насос, который будет эффективно работать в заданных условиях и обеспечивать необходимую производительность. Это важно для достижения оптимальных результатов и экономии энергии.
Расчет рабочего давления центробежного насоса
Шаг 1: Определение расхода
Первым шагом необходимо определить расход жидкости, который должен обеспечивать насос. Расход может быть выражен в единицах объема в единицу времени (например, литры в секунду) или массы в единицу времени (например, килограммы в минуту). Расход жидкости зависит от потребностей конкретной системы.
Шаг 2: Определение напора
Напор — это высота подъема или давление, которое насос должен создавать для того, чтобы поднять жидкость на требуемую высоту или преодолеть сопротивление в системе. Напор может быть выражен в единицах длины (например, метры) или давления (например, бары).
Определение напора включает в себя учет потерь напора, вызванных фрикцией и другими факторами, которые влияют на эффективность работы насоса.
Шаг 3: Определение необходимого диаметра
Необходимо определить диаметр насосного колеса, который будет обеспечивать требуемый расход и напор. Для этого необходимо учесть геометрические параметры насоса, такие как диаметр входного и выходного патрубков, а также высоту насосного колеса.
Для более точного расчета необходимо учесть такие параметры, как вязкость жидкости, потери давления на трение, закручивание потока и другие факторы, которые могут влиять на эффективность работы насоса.
Важно отметить, что правильный расчет рабочего давления центробежного насоса является сложной задачей, требующей знания основ принципов работы насоса и учета всех факторов, влияющих на его работу. При неправильном расчете может возникнуть перегрузка насоса или недостаточная эффективность его работы.
Расчет производительности центробежного насоса
Коэффициент производительности
Для расчета производительности центробежного насоса используется коэффициент производительности (Кп), который определяется как отношение объема перекачиваемой жидкости (Q) к удельной энергии (H) насоса:
Кп = Q / H
Удельная энергия (H) является характеристикой насоса, обозначающей количество работы, которую насос должен выполнять для перекачки единицы объема жидкости. Кп выражается в метрах кубических на джоуль и позволяет оценить эффективность работы насоса.
Факторы, влияющие на производительность
Производительность центробежного насоса зависит от следующих факторов:
- Диаметр рабочего колеса и корпуса насоса.
- Скорость вращения колеса.
- Геометрические характеристики колеса (высота и ширина лопаток).
- Плотность перекачиваемой жидкости.
- Режим работы насоса (напор и пропускная способность).
При расчете производительности необходимо учесть все эти факторы и выбрать соответствующие значения параметров насоса. Оптимальный выбор позволит достичь требуемого уровня производительности и эффективности работы насоса.
Выбор подходящего центробежного насоса
1. Расчет потребности в центробежном насосе
Первым шагом при выборе центробежного насоса является расчет потребности системы. Необходимо определить требуемую пропускную способность насоса, его рабочее давление, а также характеристики перекачиваемой жидкости. Для этого следует учитывать тип жидкости, ее физические свойства (вязкость, плотность) и особенности работы системы (температурный режим, наличие агрессивных компонентов).
2. Выбор типа центробежного насоса
Следующим шагом является определение типа центробежного насоса, который наиболее подходит для конкретной задачи. Существует несколько различных типов насосов, таких как одноступенчатые, многоступенчатые, горизонтальные и вертикальные насосы. Каждый тип имеет свои особенности и преимущества, которые следует учитывать при выборе.
3. Оценка производительности и эффективности
После определения требуемых характеристик и выбора типа насоса, необходимо оценить его производительность и эффективность. Важными параметрами являются напор насоса, расход жидкости, мощность, КПД (коэффициент полезного действия) и надежность. Рекомендуется обратить внимание на данные производителя и отзывы пользователей для сравнения различных моделей.
4. Бюджет
Не менее важным фактором при выборе центробежного насоса является бюджет. Цена насоса может сильно варьироваться, в зависимости от его характеристик и производителя. Поэтому важно определить приемлемый диапазон цен и искать насос, который соответствует бюджету, но при этом обладает необходимыми характеристиками и надежностью.
В итоге, выбор подходящего центробежного насоса требует анализа и сравнения различных моделей, учета требований системы и доступного бюджета. Следуя рекомендациям и обратившись к опыту, можно сделать правильный выбор и обеспечить эффективную и надежную работу системы.
Как выбрать центробежный насос
Центробежные насосы широко применяются для перекачки жидкостей в различных отраслях промышленности. Они отличаются высокой эффективностью, надежностью и простотой в использовании. Однако, чтобы выбрать подходящий центробежный насос, необходимо учитывать несколько ключевых факторов.
Во-первых, нужно определить вид жидкости, которую необходимо перекачивать. Разные центробежные насосы предназначены для перекачки различных жидкостей, таких как вода, нефть, химические растворы и др. Важно учесть физические свойства жидкости, такие как вязкость, плотность и температура.
Во-вторых, нужно учитывать требуемую производительность насоса. Производительность измеряется в объеме жидкости, перекачиваемой за единицу времени (например, литры в секунду). Необходимо определить, сколько жидкости требуется перекачивать в минуту или в час, чтобы подобрать насос с соответствующей производительностью.
Также стоит учесть требуемое давление насоса. Давление измеряется в паскалях или барах и определяет выходную силу насоса. В зависимости от технического задания, можно выбрать насос с определенным давлением, которое позволит достичь нужных результатов.
Наконец, необходимо учитывать материалы, из которых сделан насос. В зависимости от условий эксплуатации и характеристик перекачиваемой жидкости, насос может быть изготовлен из различных материалов, таких как нержавеющая сталь, чугун или пластик.
В целом, выбор центробежного насоса должен быть основан на анализе требований и условий конкретной задачи. Следуя указанным рекомендациям и советам от производителя, можно выбрать подходящий насос, который обеспечит эффективную и надежную работу.
Сравнение различных типов центробежных насосов
Центробежные насосы широко применяются в различных отраслях промышленности, включая промышленность нефтегазового комплекса, химическую и пищевую промышленность, а также водоотведение и водоснабжение. В зависимости от конкретных требований и условий эксплуатации, существует несколько типов центробежных насосов, каждый из которых имеет свои особенности и применяется для определенных задач.
Поршневые насосы
Поршневые насосы являются одним из наиболее распространенных типов центробежных насосов. Они используются в случаях, когда необходимо достичь высокого давления и обеспечить точность дозирования. Поршни движутся внутри цилиндров, создавая разрежение и сжатие жидкости. Поршневые насосы обычно имеют малый расход, но высокую производительность и давление.
Вихревые насосы
Вихревые насосы отличаются простотой конструкции и низкой стоимостью. Они используются для перекачки жидкостей с низким давлением и средним расходом. В таких насосах создается вихревая струя, которая затягивает жидкость и направляет ее в выбранном направлении. Вихревые насосы обладают хорошей самовсасывающей способностью и надежной работой при низких температурах.
Радиально-поршневые насосы
Радиально-поршневые насосы обеспечивают высокую эффективность и производительность. Они используются в случаях, когда необходимо перекачивать жидкости с высокими давлениями и большими объемами. Радиально-поршневые насосы имеют несколько поршней, которые движутся вокруг центрального вала и создают давление на жидкость. Они обеспечивают высокую точность дозирования и широкий диапазон рабочих давлений.
- Поршневые насосы: высокое давление, точность дозирования
- Вихревые насосы: низкая стоимость, хорошая самовсасывающая способность
- Радиально-поршневые насосы: высокая эффективность, широкий диапазон рабочих давлений
При выборе типа центробежного насоса необходимо учитывать требования процесса, потребности в давлении и расходе, а также физические свойства перекачиваемой жидкости. Кроме того, важным фактором является экономическая эффективность и надежность работы насоса на протяжении всего срока службы. Подходящий тип насоса поможет обеспечить надежную и эффективную работу системы.
Вопрос-ответ:
Каков принцип работы центробежного насоса?
Какие параметры необходимо учитывать при расчете центробежного насоса?
Как рассчитывается пропускная способность центробежного насоса?
Как подобрать насос с нужными характеристиками для конкретной задачи?
Как работает центробежный насос?
Как происходит расчет производительности центробежного насоса?
Как выбрать центробежный насос для определенной задачи?
Какие материалы обычно используются для изготовления центробежных насосов?
Видео:
Как выбрать насос. Что Нужно Знать При Покупке. Быстрый и упрощённый расчёт параметров.
Принцип работы центробежного насоса
-
Насос джамбо — самое мощное оборудование для перекачки жидкостей -
Применение насосов в системах водоснабжения — особенности выбора и преимущества -
Как самостоятельно разобрать и собрать водяной насос — подробная инструкция с фото и пошаговая расписка












